Papers

Jeevanjee and Romps, Mean precipitation change from a deepening troposphere, PNAS, 2018

Paper

PDF

BibTeX

DOI

Description

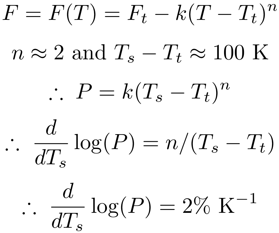
Why does the equilibrated global precipitation rate increase at roughly 2% per K in all global climate models? The reason stems from the fact that water vapor is the dominant greenhouse gas (as well as the dominant shortwave absorber) and that its density is a fixed function of temperature. As a result, the atmospheric profile of net upwelling radiative flux F is very well approximated by a fixed function of temperature, F = Ft - k (T - Tt)n, where k and n are positive constants and Ft is the net flux at the tropopause. Therefore, the net radiative cooling of the troposphere, Ft - Fs, is equal to k (Ts - Tt)n, where s denotes the surface. Since the radiative cooling of the troposphere is largely balanced by the release of latent heat, the precipitation rate P, measured in W m-2, is also equal to k (Ts - Tt)n. Therefore, since Tt is invariant (think FAT, or see our upcoming paper on FiTT), the fractional change in precipitation per change in surface temperature is n/(Ts - Tt). For Earth, n = 2 and the depth of the troposphere is 100 K, so precipitation increases at 2% / K.